动漫屋 - 动漫屋无修正里番资源中心
学院主站
主页
动漫屋概况
动漫屋简介
现任领导
管理架构
系室简介
联系我们
师资队伍
名师风采
研究生导师
管理办公室
解剖学系
病理学系
生理学与病理生理学系
病原生物学与免疫学系
动漫屋 系
动漫屋 研究所
广州霍夫曼免疫研究所
科学研究
科研动态
科研通知
重点学科
科研平台
科研成果
科普专栏
本科生教育
本科生动态
教育通知
动漫屋 专业简介
实践教学
教学能力提升
质量工程
教学成果
招生工作
就业工作
本科生导师
研究生教育
研究生导师
研究生动态
教育通知
学位授权点
招生工作
就业工作
研究生报考服务系统
党团工会
党建
工会
团委
人才招聘
公开招聘
高层次人才
博士后
专题网站
动漫屋 实验教学中心
动漫屋 虚拟仿真实验教学中心
遗体捐献纪念网站
院长信箱
本科生教育
本科生动态
主页
»
本科生教育
»
本科生动态
» 正文
本科生动态
教育通知
动漫屋 专业简介
实践教学
教学能力提升
质量工程
教学成果
招生工作
就业工作
本科生导师
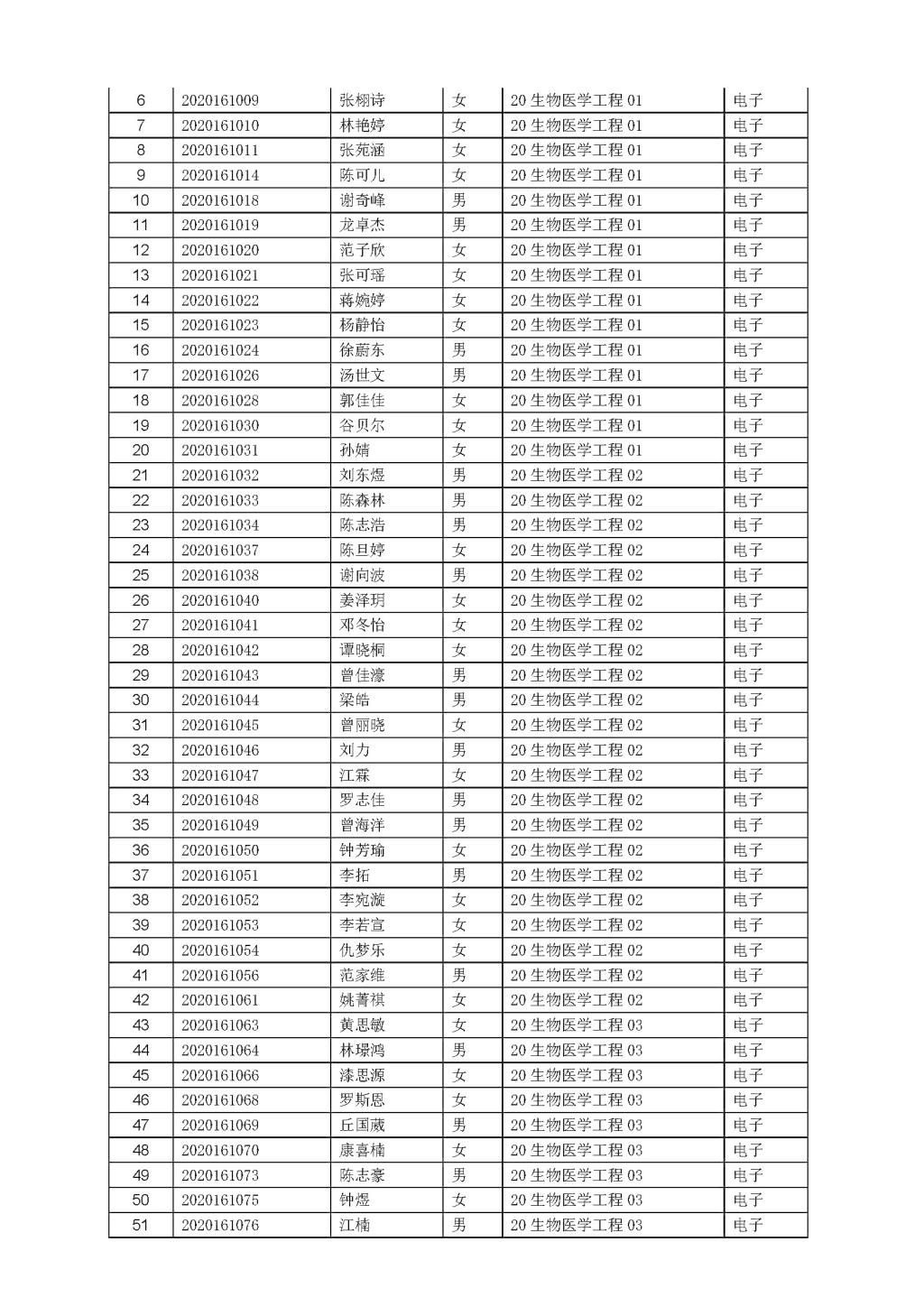
动漫屋 生物医学工程专业2020级培养方向分班公示
发布日期:2021-07-15 作者: 来源: 点击:
上一篇:
动漫屋 第二届“医学形态学实验教学标本切片大赛”
下一篇:
活动预告|动漫屋 人体标本馆科普基地第八期科普之旅——一呼一吸非小事,呼吸健康应重视